近日,司机社 徐震宇教授课题组与中科院精密测量研究院冯芒研究员带领的束缚体系量子信息处理实验团队合作,理论提出并实验验证了量子速度极限与绝热捷径功耗之间的最优权衡。相关成果以“Single-Atom Verification of the Optimal Trade-Off between Speed and Cost in Shortcuts to Adiabaticity”为题,于2024年5月24日在线发表在学术期刊《物理评论快报》(Physical Review Letters)上。
量子绝热捷径方法是量子计算中常用的量子调控手段,通过增加辅助驱动场的方式实现与传统绝热过程相同的效果,与此同时能够加快量子逻辑门的操控速度,有利于在退相干时间内尽快完成相应的量子过程。由于受制于量子速度极限,量子绝热捷径技术究竟能将量子态的演化速度提升多少以及如何以最低能量成本实现演化速度的极限是一个广受关注的问题。
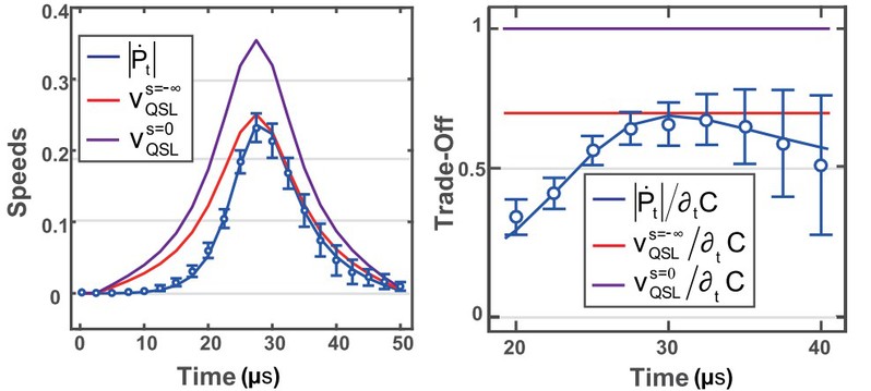
研究人员发现,以往得到的权衡关系并不能准确反映出量子系统真实的演化速度。主要存在两个问题:一、真实的演化速度无法达到理论上求得的量子速度极限。通常使用Cauchy-Schwarz不等式所得到的量子速度极限远远大于真实的演化速度,不能准确反映出量子系统的情况;二、量子速度极限无法真实反映量子态本身的演化趋势,有时甚至是完全相反的描述。在本项工作的理论研究部分,研究人员巧妙地利用s参数化相空间方法对量子速度极限进行二次缩放,从而解决了上述问题。s参数化相空间是一系列相空间的集合,例如,常见的Wigner相空间即s为零情形。由于s参数具有连续性,因此总可以找到所有相空间的一个子集,使得二次缩放后的量子速度极限比以往得到的量子速度极限要更优。研究人员通过紧量子速度极限的严格证明,发现最优量子速度极限可以用以往很少关注的s为负无穷的相空间来描述,由此提出了一个辅助驱动场的功耗与量子态演化速度极限之间新的权衡关系表达式。
针对以上理论结果,研究人员运用离子阱量子操控技术做了实验验证。利用量子绝热捷径技术执行了著名的Landau-Zener模型。借助单个钙40离子的三能级结构,精确制备了不同的初态。然后通过激光的精准操控,测量得到体系的真实量子速度,并与理论预测作对比。结果显示,本项研究中获得的量子速度极限能够真实地反映量子态的演化速度和趋势,更准确地代表了量子速度的极限。

图(左):实际演化速度与两种量子速度极限的对比。(右):在Landau-Zener模型的能级免交叉时间窗口内,实际的量子速度-功耗权衡关系与理论上的量子速度-功耗权衡关系上界的对比。
该研究成果为量子信息处理中速度与功耗之间的权衡建立了一个更为准确的不等式,并在实验上做了精准的检验。这有助于人们更深入地理解量子力学的基本原理,并加深对量子技术中存在的内禀限制的理解。
此项工作的主要理论推导和证明是由孟维权同学(司机社 物理学专业2023届本科生)与徐震宇教授在2023年5月份完成;实验方面是由中科院精密测量研究院冯芒研究员带领的超冷囚禁离子研究团队完成。该研究得到国家自然科学基金等项目的资助。
