2025年1月6日《Physical Review Research》发表了司机社 赵永峰副教授关于管道中活性粒子输运规律的理论研究工作,题为《Active particles in a tube: A generalized entropy potential approach》。该研究构造了在长管道极限下活性粒子在宽度可变管道中运动的Fick-Jacobs方程,将布朗粒子熵势的概念推广至活性粒子。活性粒子在管道中的运动关联着细菌侵染生物组织等众多重要的生物问题。Fick-Jacobs方程将高维的粒子动力学方程约化到一维,大大简化了粒子在管道中输运性质的分析与计算。
该研究首先发现管道中的活性粒子动力学方程无法用单一的熵势约化。在扩散极限下,活性粒子的密度场仍可以用熵势约化,但由于活性粒子的边界聚集效应,活性在改变了有效温度的基础上同时改变了管道的有效宽度,使得活性粒子熵势无法从布朗粒子熵势中简单推广得到。文章进一步展示了如何利用活性粒子熵势来计算粒子从纺锤形管道中逃逸的平均时间,并展示了取向场熵势如何用于定性预测不对称管道中的自发粒子流场。这些粒子展示了推广的Fick-Jacobs方程的实用性。

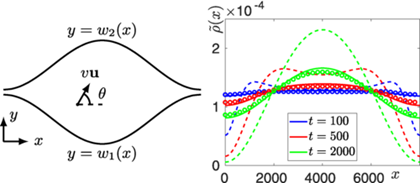
图1:活性粒子密度在宽度可变管道中的时间演化与活性粒子逃离管道的平均时间。
该工作由赵永峰副教授独立完成,并受到了国家自然科学基金青年科学基金项目的资助。
文章链接://journals.aps.org/prresearch/abstract/10.1103/PhysRevResearch.7.013015
