随着化石燃料的大量使用,其造成的能源危机和环境污染等问题成为当前人类社会面临的重大问题。太阳能因为其体量巨大,绿色无污染等优点,在可再生能源方面有着无可比拟的优势。自从Fujishima和Honda在1972年报道了利用TiO2光电化学分解水之后,光电催化分解水就受到了越来越多的关注。光电化学分解水制氢可以将太阳能直接转变为氢能储存起来,克服了太阳光光照不连续的问题。因此,半导体光电催化是目前最理想的光解水制氢的方案之一。大量的研究聚焦于寻找合适的半导体光电极材料,比如TiO2, ZnO, WO3, Fe2O3和BiVO4等。由于独特的电子和光学优势,二维半导体材料最近受到了越来越多的关注。而二维金属硫化物以其较窄的光学带隙,使得光电极的光利用效率大大增强,另外大的比表面积提供了更多活性位点。但是大量的表面缺陷态的存在和较差的光生载流子分离能力导致严重复合依旧阻碍光电极的性能。
掺杂被认为是提高载流子分离能力的有效途径。最近在材料内部引入空位也受到了广泛的关注,不同类型的金属和非金属空位可以用来提高材料的电催化或者光催化能力。大量的前期研究深入探讨了掺杂和空位对结构和性能提升的影响,但是基本上都是单一的引入掺杂或者空位。而在一个材料体系同时引入掺杂和空位,有望使得掺杂和空位产生协同效应,大幅提升光电极的性能。
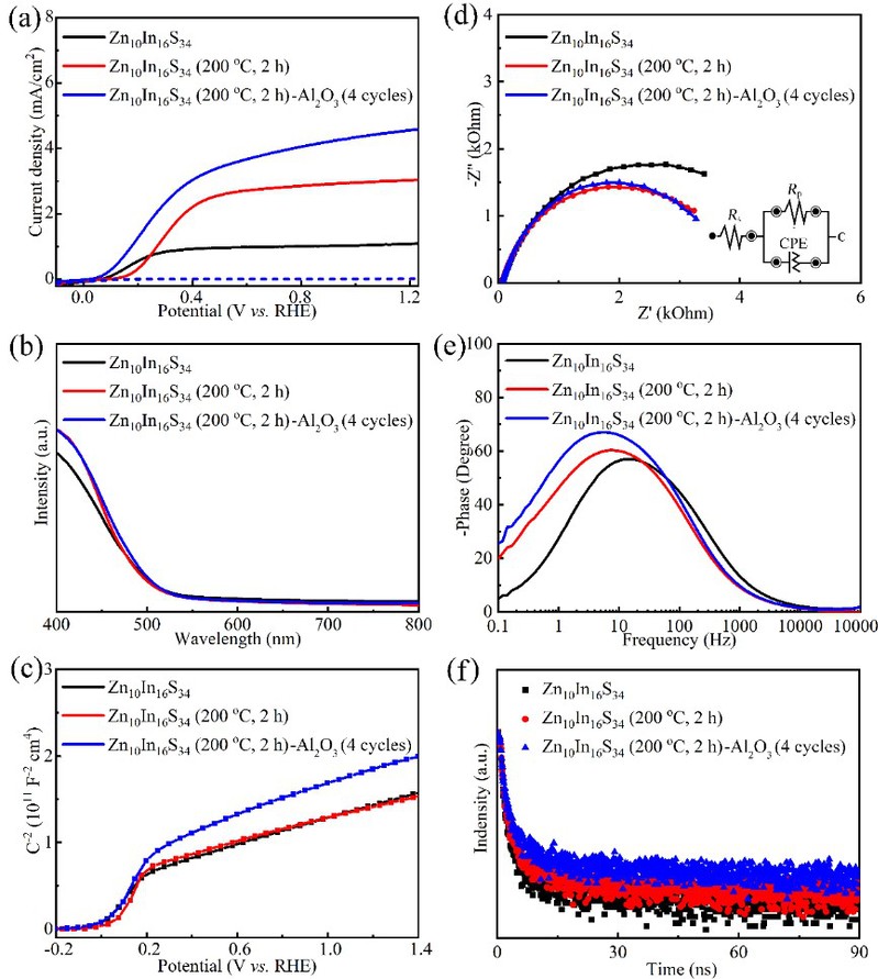
司机社 李亮课题组使用水热方法首次合成Zn10In16S34超薄纳米片,使用简单的低温热处理方式,在光电极中同时引入空位(Zn和S)和掺杂(O),提高了光电极的载流子分离能力,减少了体相符合,增加了载流子浓度,延长了载流子的寿命,使得表面阻抗大大降低,从而有效提升了光电化学性能(Figure 1)。具体来说,通过对Zn10In16S34超薄纳米片在空气中不同温度的热处理,高温下,O以氧化物的形式存在,低温下O以掺杂的形式存在;在最佳温度条件下,对热处理的时间进行调控,随着时间的变化,其O掺杂的量逐渐发生变化,另外通过对其最佳热处理条件的样品进行XPS刻蚀处理发现Zn和S强度随着刻蚀深度增加逐渐增加,证明此时Zn和S空位在光电极表面的形成。进一步通过原子层沉积技术制备一层超薄Al2O3用来消除表面缺陷态,进一步提升光电极性能,最终使得光电流提升4.7倍,并且大大降低了起始电压。DFT理论计算表面O-掺杂过高或者过低均不利于性能的提升,其掺杂浓度需要一个适中量。另外,Zn空位和S空位以及O-掺杂大大降低了反应过电势,协同导致光催化分解水性能的提升。
本研究通过简单快速的热处理策略,同时在样品中成功引入了空位和掺杂,并辅以DFT理论计算,适中的O掺杂含量以及Zn,S空位大大降低了反应过电势,明显提升了其光电化学性能。为以后的光电极设计提供了一个简单快速有效的策略。

Figure 1 a) J-V曲线。b) 紫外-可见吸收光谱。c) 莫特-肖特基曲线。d) 电化学阻抗谱。e) 伯德图。f) 时间分辨荧光光谱寿命图。
